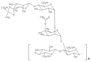
Xanthan
Xanthan
|